Common problem
聯系APAS / Contact us
- 地址:天津市西青經濟技術開發區賽達國際工業城A3-2.
- 郵箱:lxc@apas.com.cn
- 電話:022-87920088
- 傳真:請聯系網絡管理員
- 郵編:300385
- 咨詢熱線:13702119190(24小時服務熱線)
鋁型材電解著色中為何能使用各種不同波形
鋁型材電解著色中使用的電源基本上都是工業交流電(正弦波交流電);淺田太平的專利明確記載了采用交流電的二次電解法;電解著色如此普及是因為使用電源和運轉成本都比較低,適于在鋁型材陽極氧化膜中電解還原析出金屬;
那么,為什么還要研究多種電源的波形并實用化呢?
1:何為交流波形
鋁型材電解著色技術從開發初期到實用化遇到了很多的困難;為了克服這些困難,積極進行了鋁型材電解著色所應用溶液成分的研發、以及電解著色槽設備和電源波形的研發;為了使電解著色波形實用效果顯著而持續進行了許多研究,主要有非對稱交流、不完全整流波形、方波交流、直流+交流、直流+極性反轉直流,直流+極性反轉方波、交直流變換及交直流疊加等;
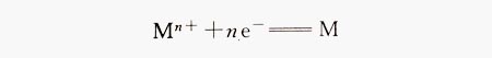
這些研究中所含必需的正成分是相同的;陰極施加直流電因發生與電鍍相同的金屬析出反應而著色,其反應如下公式計算:
發生金屬析出反應時,鋁型材陽極氧化膜微孔中的pH上升,氫離子、金屬離子的供給平衡就變得很重要了,因此需要陽離子成分;在多孔型陽極氧化膜的孔底存在較薄的阻擋層,這種阻擋層對通過的陰極電流沒有阻擋作用,而對陽極電流有較高阻擋作用,也就是起到整流作用;使用交流著色時,在陰極的氫離子進入氧化膜的阻擋層中并向金屬方向移動時,在鋁型材和氧化膜的界面發生放電反應,產生的氫氣破壞了陽極氧化膜,電流就更容易通過了;甚至,著色物體在陽極時,生成或修復阻擋層;由于阻擋層的整流作用,會阻止局部通過過大電流;為了防止發生電解著色中的剝落,需要對照負成分的比率選擇合適的正成分;僅對負成分使用直流時,在引起金屬電解析出的陰極,阻擋層的整流作用使大電流容易通過,金屬電解析出的同時發生氫離子的放電反應,阻擋層氧化膜局部容易被破壞;阻擋層內的電流和電壓的關系不呈歐姆定律的直線關系,而呈指數的函數關系,一旦電流開始通過,電流就會迅速增大,大電流通過的同時產生氫氣,這也是產生剝離的原因;因此成為研究各種波形的電解著色一個重要原因;
2:交流波形的特征
使用正弦波交流進行鋁型材電解著色時,采用示波器觀察的同時進行金屬的析出反應,進而認識波形的傾斜和相位的移動(如下圖所示);這些鋁型材電解著色時的情況是根據電阻(反應電流)以及電容(電容電流)和二極管(整流作用)的組合得到的,顯示相同的行為;隨著反應的進行,為了使電容電流變化,可將波形傾斜;
(交流電解著色中的傾斜電流)
3:陽極前處理
對于著色物體,直流成分增多時,就會出現妨礙著色的一價陽離子雜質的影響;為了消除剝落并提高鋁型材表現附著性,一般適當調整陽極前處理的阻擋層厚度即可奏效;
聯系APAS/ Contact us聯系電話:022-87920088
企業傳真:(避免惡意廣告)請聯系該企業網絡管理員
服務熱線:13702119190 (24小時服務熱線)
Q Q:534973906
企業郵箱: lxc@apas.com.cn
企業地址:天津市西青經濟技術開發區賽達國際工業城A3-2
采購意向留言:* 為必填




QQ咨詢
電話聯系
聯系電話

在線留言
樣冊下載
